目录
pock exam
一做就发狠了忘情了
重新做。
Assessment
Sheet 1
纯高中物理,难评,这种分方向的向量坐标系过程怎么写来着?或许还需要看上学期的ppt?
Sheet 2
RevisionSlides
RevisionSlides1_Master
机械运动复习,今天复习这些
RevisionSession1_Solutions
这个好像也是机械运动
workshop & toturial
Solid state physics

Lecture1 Task Solutions
唉我操怎么这么难,再复习一下
Lecture2 Task Solutions
这题做得不错,做完了
Lecture3.1/3.2 Task Solutions
第一题莫名其妙的
Lecture4.1 Task Solutions

有点意思吼.
Lecture5 Task Solutions 衍射,布拉格定律
这个题挺有意思的,做完了
Lecture6 Task Solutions
这道题需要重新做,就是考察一些基本公式吧,但是说明基础不好
thermodynamics

Lecture 2 Task Solutions 热机效率

Lecture 3 Task Solutions 卡诺循环

Lecture 4 Task Solutions 熵
还没做
Workshop1 Slides
还差Task5,熵计算确实是很不会
Lecture 5 Task Solutions 多元函数微分
很简单,这道题稍微看看:

Lecture 6 Task Solutions
正准备开始做,还是做点化学和数学吧祖宗
Lecture 7 Task Solutions


在压强 p 不变时,焓的变化量 $\Delta H$ 等于系统吸收的热量 Q,即 H(焓)在 p 不变时体现为吸收的热量
Workshop 3 热力学,熵,haber process
还可以,可以跳过了
Lecture 8 Task Solutions
Maxwell relations,主要是全微分可交换偏导顺序这一点,掌握了就可以推导出来了
Workshop4Slides – hydrogen cars
键焓不同于别的物理量(product-reactant),是breaking-making
Workshop 5 饱和蒸气压
做完了,那么,代价呢
special relativity

Lecture 1 Task Solutions 伽利略变换和洛伦佐变换
Task1第三问,first particle有给出相关参数吗?我怎么没找到
Task2第三问好诡异,洛伦兹变换的公式似乎有问题

这个真不明白,为什么最后一问要这么复杂

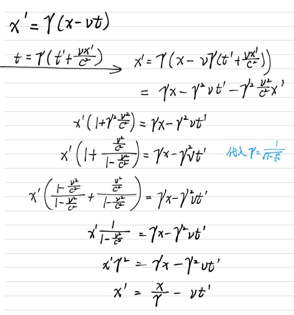
在这一问中,不能直接用 $x’ = \gamma(x – vt)$ 计算,原因在于该公式中的 $t$ 是 $S$ 系中的时间,而题目给出的是 $S’$系中的时间 \(t’\);由于 $S$ 系中的$ t$ 未知,直接使用 $x’ = \gamma(x – vt)$无法代入计算
Question Sheet
Question Sheet
4.5洛伦兹变换的题目还需要看一看
第一学期
主要是力学部分的复习
workshop3
0 条评论